Wednesday, July 27, 2011

Potential GDP II


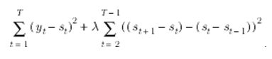
Một số bạn hỏi tôi về số liệu và chi tiết cách tính potential GDP bằng HP filter. Dưới đây là công thức tính HPF cho bất kỳ chuỗi số liệu (y_t) nào, bạn phải minimize giá trị này bằng cách thay đổi s_t và đó chính là chuỗi đã được smooth. Về cơ bản đây là trade-off giữa sai số (phần thứ nhất của biểu thức) và variability của chuỗi đã được smooth (phần thứ 2). Parameter duy nhất bạn phải tự chọn là lambda, càng lớn thì kết quả càng smooth nhưng càng nhiều sai số. Khi lambda tiến đến infinity thì chuỗi s_t trở thành linear trend. Ngược lại khi lambda tiến đến zero thì s_t trùng với y_t. Thường với quarterly data giới kinh tế chọn lambda=1600.

Nhiều statistic/econometric software có sẵn công cụ HPF, ngay cả Excel cũng có addin. Tôi sử dụng Eviews 6 với đoạn code sau để tính và vẽ đồ thị potential GDP growth (sau khi đã hiệu chỉnh seasonal bằng x12):

pagecreate(page=quarterly) q 1998q4 2011q2
read(b2, s=Sheet1) "C:\GDP\GDP.xls" 1

gdp.x12(mode=m)
gdp_sa.hpf gdp_sa_hp

genr gr_sa=@pc(gdp_sa)*4
genr gr_sa_hp=@pc(gdp_sa_hp)*4
gr_sa_hp.line

genr gap=gr_sa-gr_sa_hp
gap.bar

Số liệu GDP theo quí của VN từ 1998 Q4 đến 2011 Q2 tôi lấy từ Datastream và làm một số ước lượng/hiệu chỉnh cho 5 quí đầu tiền (1998:4-1999:4) vì số liệu từ Datastream bị thiếu, bởi vậy số liệu những quí này có thể không chính xác. Bạn nào cần chuỗi số liệu này có thể email vào địa chỉ: kinhtetaichinh.potential.gdp@gmail.com, email này sẽ tự động gửi đường link đến bảng số liệu cho bạn.


77 comments:

  1. Nếu dùng GDP thì đay là GDP thực tế p k thầy....còn GDP tiềm năng e coi trong sách vĩ mô thì Y = G + C ...Mong thầy làm rõ ..

    ReplyDelete
  2. @1aaa1: Chuỗi số liệu GDP đầu vào (tôi cung cấp trong spreadsheet) là actual hay unadjusted GDP (quarterly). Đó cũng chính là G+C+... như bạn nói. Còn GDP tiềm năng (potential GDP) thì không có công thức tính, đó chỉ là một khái niệm mà người ta tìm cách ước lượng. Bên trên tôi dùng kỹ thuật HPF nhưng còn nhiều cách khác nên sẽ có kết quả khác nhau.

    ReplyDelete
  3. Bác Giang cho cháu hỏi đơn vị của chuỗi số liệu GDP là gì vậy ạ?

    ReplyDelete
  4. @Vĩnh Khánh: số liệu real GDP có đơn vị là billion VND (1995 price). Nhưng nếu bạn chỉ quan tâm đến tốc độ tăng trưởng hoặc output gap thì không cần để ý đến đơn vị.

    ReplyDelete
  5. Bác Giang cho em hỏi chuỗi số liệu GDP năm 2010 của VN em thấy trên wordbank là 103.572 tỷ USD mà, nhựng theo chuỗi số liệu Q42010 của bác lại là 167.522 bác nhỉ?

    ReplyDelete
  6. Bác ơi cho cháu hỏi là tại sao đoạn tính tăng trưởng
    genr gr_sa=@pc(gdp_sa)*4
    genr gr_sa_hp=@pc(gdp_sa_hp)*4
    lại phải nhân với 4 ạ

    Bác có thể cung cấp cho cháu số liệu về giá trị sản xuất công nghiệp của VN theo tháng từ 2001M1-2011 được không ạ vì hiện giờ trên GSO họ chỉ có từ 2004
    Cháu cần số liệu này để tính Output gap trong 1 bài nghiên cứu khoa học của cháu ở trường

    Cháu cảm ơn bác

    ReplyDelete
  7. @Đỗ Thanh Tùng: vì gdp là chuỗi quarterly, cho nên nhân với 4 để chuyển về annual rate để dễ so sánh.

    Số liệu IP trên Datastream (là nguồn tôi sử dụng) thậm chí còn ngắn hơn vì thực ra cũng có xuất xứ từ GSO. Bạn chịu khó liên hệ với GSO hỏi xem sao.

    ReplyDelete
  8. Dạ vâng cháu cảm ơn bác ạ
    Cháu xin lỗi lại làm phiền bác cháu có đọc bài "Macroeconomic Determinants of Vietnam’s Inflation 2000-2010: Evidence and Analysis" - Nguyen Thi Thu Hang, Nguyen Duc Thanh của VEPR (http://vepr.org.vn/en/index.php?option=com_docman&task=doc_download&gid=103&Itemid=486)
    Cháu thấy trong bài này họ có đề cập đến chỉ số giá của người sản xuất - producers' price index (ppi) và họ nói là lấy số liệu từ GSO vs số liệu theo quý từ năm 2001 nhưng số liệu này cháu đọc trên web của GSO thì họ chỉ có "Chỉ số giá bán sản phẩm của người sản xuất hàng công nghiệp (Năm 2000 = 100)" số liệu theo năm và "Chỉ số giá bán sản phẩm của người sản xuất hàng nông, lâm, thuỷ sản (Năm 2000 = 100)" số liệu theo năm
    Cháu cũng đã liên hệ với Vụ thống kê thương mại, dịch vụ và giá cả của GSO và họ có nói là số liệu này họ mới tính theo quý từ năm 2009
    Do đó cháu muốn hỏi bác là số liệu này trên Datastream liệu có không ạ?
    Nếu có thì cháu xin phép bác cho cháu được xin số liệu này
    Cháu cảm ơn bác.

    ReplyDelete
  9. @Đỗ Thanh Tùng: Tôi không có số PPI (Datastream chưa update series này). Bạn liên hệ với 2 tác giả bài viết đó xem sao.

    ReplyDelete
  10. Chào bác, cho cháu hỏi ngoài cách sử dụng lọc HP này. Bác đã từng sử dụng 2 phương pháp: Detrend và "trừ đi mean" chưa ạ.
    Nếu rồi, thì bác có thể chỉ cách cho cháu được ko ạ. cháu ko tìm đc tài liệu về 2 phương pháp này..
    Cảm ơn bác nhiều ạ!

    ReplyDelete
    Replies
    1. Tôi chưa dùng các kỹ thuật detrend khác cho GDP của VN nhưng có biết qua những kỹ thuật như vậy trong các sách giáo khoa về time series. Về cơ bản bạn cần xác định một series có trend hay không, nếu không thì chỉ cần tính trung bình của toàn chuỗi và trừ đi trung bình đó để có deviation from mean. Nếu có trend thì cần xác định trend đó là linear hay log-linear (đa số các series về vĩ mô đều là log-linear, nghĩa là lấy log rồi tính trend = a+b*t). Một số series có thể có trend bậc cao hơn (polynomial bậc cao hơn 2, vd trend = a+b*t+c*t^2+d*t^3). Sau khi xác định trend rồi thì chỉ cần trừ đi trend value ở từng thời điểm để xác định deviation from trend.

      Delete
  11. Cháu muốn tính Potential GDP bằng phương pháp Detrend. cháu đã thử sử với chuổi số liệu GDP 1999Q1-2010Q4 mà bác cung cấp.
    cụ thê cách làm của cháu như sau,sử dụng OLS để ước lượng y= a+b*t
    sau khí xác định được a và b thì thay t để tính y*
    Chênh lệch giữa y thực tế và y* chính là Potential GDP.

    Tuy nhiên, khi tính như vậy thì y* rất lớn, không lệch giá trị y là mấy --> Potential GDP rất bé (!)
    còn nếu thử OLS: log(y)= a + bt thì y* lại rất bé.

    Vậy chắc các làm của cháu có vấn đề,Mong Bác giúp cháu tìm cách tính hợp lí đc ko ạ.

    ReplyDelete
    Replies
    1. Bạn cần dùng cách thứ hai log(y)=a+b*t (có thể thêm các bậc cao hơn, vd t^2, t^3...). Nếu dùng số liệu quarterly bạn cần sử dụng chuỗi đã hiệu chỉnh seasonal.

      Delete
  12. Bác Giang cho cháu hỏi số liệu cung tiền M2 theo quý của Việt Nam có thể lấy ở đâu a? Cháu tìm hoài không được, cháu đang làm nghiên cứu. Cháu cám ơn bác nhiều !

    ReplyDelete
  13. @Hoai Bao: Bạn có thể vào worldbank để lấy miễn phí. http://data.worldbank.org/data-catalog/

    ReplyDelete
  14. Cám ơn Tung Son nhiều. Nhưng sao mình vào link trên sao vẫn ko tìm thấy số liệu M2. Bạn vui lòng hướng dẫn chi tiết hơn được không?

    ReplyDelete
    Replies
    1. Nếu mình nhớ không nhầm thì nó ở đây, bạn kiểm tra lại xem http://data.worldbank.org/data-catalog/global-economic-monitor

      Delete
    2. HoaiBao co thể cho mình xin sô liệu M2 dduoc ko a, minh dang lam de tai tot nghiep, cam on nhieu ah
      Email: tanguyenkhoi@gmail.com

      Delete
    3. This comment has been removed by the author.

      Delete
  15. Mình đã tìm được số liệu. Chân thành cảm ơn Tung Son nhé!

    ReplyDelete
    Replies
    1. anh Bao đã có số liệu về M2 của Việt Nam rồi ạ? Anh có thể share cho em với được không ạ? Em cũng đang rất cần số liệu này. Email của em là minhkhoilai91@gmail.com.
      Em cám ơn anh nhiều!

      Delete
    2. @Hoài Bảo: mình lên wb tìm số liệu cung tiền M2 nhưng chỉ có số liệu theo năm thôi, bạn tìm được số liệu theo quý thì share cho minh voi duoc ko? bạn liên lạc voi minh qua yahoo là sweet_lotus126 nha. Mình đang làm khóa luận tốt nghiệp và rất cần số liệu M2 để chạy mô hình hồi quy. Cám ơn bạn nhiều.

      Delete
    3. @Hoài Bảo: Mình lên trang của wb cũng chỉ thấy có số liệu theo năm, không biết bạn tìm số liệu theo quý ở link nào thế? Mình cũng cần M2 theo quý. Bạn có thể share cho mình được không? YMail koala2210@yahoo.com. Cảm ơn nhiều.

      Delete
    4. @Hoai Bao: Mình lên đó lấy được theo tháng rồi, nhưng không biết tính bằng đơn vị gì anh nhỉ? Nếu mình muốn tính bằng đơn vị VNĐ thì phải làm sao?

      Delete
    5. có anh chi nao tìm duoc solieu ve M2 co thể share cho minh duoc ko a?
      EMAIL: tanguyenkhoi@gmail.com
      chan thanh cam on

      Delete
    6. Bảo chỉ giúp mình lấy số liệu M2 theo Quý trên WB với mình đang rất cần. Hoặc nếu được gửi giúp mình qua email: dong_maik@yahoo.com
      Cảm ơn nhiều.

      Delete
    7. Đây là số liệu anuual M2 của Việt Nam
      http://www.mediafire.com/?oi84bevmh5npb7s
      Hy vọng có ích cho bạn :-)

      Delete
    8. Cảm ơn runawayyy nhiều nhưng mình cần số liệu theo Quý từ Q1 2000 đến Q4 2011.

      Delete
    9. số liệu kia chính là số liệu của WB đấy, WB ko có M2 theo quý đâu bạn ạ.
      Ở đây mình có số liệu M2 theo tháng (sorry, vẫn không phải theo quý như bạn muốn :D) từ 2000 đến 2010, ngày xưa mình xin xỏ được
      http://www.mediafire.com/?520qegefbtoujw2
      Nếu dùng thì bạn ghi nguồn số liệu là IMF nhé :-)

      Delete
    10. This comment has been removed by the author.

      Delete
    11. Cảm ơn bạn nhiều nhé, số liệu này rất hữu ích với mình.

      Delete
    12. I know what it feels like when one desperately needs data :-)

      Delete
    13. anh/chị Runawayyy có thể giúp em số liệu tháng của M2 tu 2005 đến 2012 ko ah? e down link share roi nhung chỉ tới 2010 thôi và cung ko biet la dơn vị là gì ah? em dang lam de tai rat can so lieu nay, rat mong anh/chi giup đỡ ah. Chân thành cám ơn ah

      Delete
  16. Bác cho cháu hỏi, chuỗi số liệu GDP này giá gốc năm bao nhiêu ạ.
    Cháu có xin được GDP theo quý từ 1994 - 1999 (price 1994) nên muốn ghép với bộ của bác thành chuỗi dài hơn để phục vụ NC.
    (Có chỗ cháu thấy bác ghi là 1995)nên ko chắc lắm.

    ReplyDelete
    Replies
    1. Chuoi nay co gia goc 1994, neu co cho nao toi ghi 1995 chac la nham.

      Delete
    2. Trace Dao ơi! có thể share cho mình số liệu GDP theo quý được không. mình cũng đang cần để chạy mô hình. nếu được bạn gửi qua cho mình nguyenlan21190@yahoo.com cám ơn bạn nhiều nha!

      Delete
    3. Trace Dao share cho mình được không? Mình cũng đang cần cho mô hình. Email của mình là koala2210@yahoo.com. Cảm ơn bạn nhiều.

      Delete
    4. Trace Dao share cho mình được không ah? Mình cũng đang cần cho mô hình. Email của mình là tanguyenkhoi@gmail.com. Cảm ơn nhieu a!

      Delete
    5. Bạn chịu khó đọc lại entry này nhé: http://kinhtetaichinh.blogspot.com.au/2012/03/economic-data.html.

      Delete
    6. This comment has been removed by the author.

      Delete
  17. This comment has been removed by the author.

    ReplyDelete
  18. Bác Giang cho cháu hỏi là nếu cháu muốn chuyển chuỗi số liệu real GDP 1994 sang năm giá gốc 2000 thì làm sao ạ?

    ReplyDelete
  19. Nếu mô hình của bạn chỉ quan tâm đến growth rate thì bạn không cần chuyển, growth rate tính với giá gốc năm nào cũng vậy. Nếu bạn cần biến level thì bạn cần nhân toàn bộ chuỗi có giá gốc năm 1994 với tỷ số GDP năm 2000 tính theo giá 2000 chia cho GDP 2000 tính theo giá 1994.

    ReplyDelete
  20. dạ cháu cám ơn bác :)
    Số liệu GDP này là chính xác theo GSO lun đó bác, nhưng trên GSO chỉ có GDP theo quí từ 2004

    ReplyDelete
  21. cháu chào bác!!!
    cháu đang làm luận văn về tiền gửi tiết kiệm, nhưng cháu không tìm thấy số liệu của số lượng tiền huy động được của hệ thống ngân hàng Việt Nam theo quý đó bác
    Bác có nguồn nào có thể giúp cháu tìm được không bác
    cháu cảm ơn bác nhiều lắm

    ReplyDelete
    Replies
    1. Có lẽ chỉ có NHNN có số liệu này, tuy nhiên tôi nghĩ họ không công bố vì khá sensitive. Bạn chịu khó search website của NHNN xem sao.

      Delete
  22. chau chao bac ak. chau muon hoi bac khai niem gdp tiem nang la gi ak? chau mong bac giup chau ak

    ReplyDelete
  23. This comment has been removed by the author.

    ReplyDelete
  24. Em đang cần số liệu GDP Gap từ năm 2000 đến 2010, bạn nào có số liệu cho mình xin hoặc nếu tính phí mình sẽ trả nhé. Liên hệ ngocduy1507@gmail.com hoặc 0908.426.220 gặp Duy

    ReplyDelete
    Replies
    1. Bạn đọc entry này nhé: http://kinhtetaichinh.blogspot.com.au/2012/03/output-gap-ii.html

      Delete
    2. bác gửi lại giùm cháu cái link này, cháu vào k đc ạ

      Delete
  25. Cháu chào bác !!
    Cháu đang làm nghiên cứu vê hiệu ứng dẫn chuyền chính sách tiền tệ !! cháu có đọc một bài paper trong đó người ta sử dụng mô dữ liệu của nước Úc sau đó dùng model DSGE để ước tính tham số sau đó chạy mô hình VAR với sign restricted VAR để so sánh bác có thể cho cháu biết:
    1. chạy mô hình DSGE như thế nào ?/
    2. từ kết quả mô hình DSGE chuyển qua chạy VAR thì làm sao ạ ?/
    Mong bác giúp cháu với cháu cam ơn nhiều ạ !

    ReplyDelete
    Replies
    1. Bạn cần đưa link của bài nghiên cứu gốc lên đây thì may ra tôi có thể giúp được chứ nói chung chung DSGE/VAR như vậy thì tôi cũng không biết thế nào.

      Delete
    2. chào bác! đây là lần đầu tiên cháu vào blog. Cháu đang làm khóa luận tốt nghiệp, nhưng gặp mô hình Restricted VAR cháu chưa có một định nghĩa cơ bản nào về mồ hình này cả nên khi tìm hiểu gặp nhiều khó khăn. Bác có thể cho cháu vài lời giải thích ngắn gọn hoặc là tài liệu cơ bản về mô hình này được không. cháu cũng có hiểu biết cơ bản về VAR rồi.

      Delete
  26. Hix hix, Bác cho cháu hỏi chừ muốn kiếm số liệu về GDP qua từng quý hay tháng thì kiếm ở đâu vậy???

    ReplyDelete
    Replies
    1. Bạn runawayyy nói đúng đấy, không có nước nào thống kê monthly GDP đâu.

      Delete
  27. GDP không có số liệu theo tháng bạn ạ, bạn có thể thấy chỉ số sản xuất công nghiệp IPI làm proxy cho monthly GDP. Hoặc bạn có thể nội suy số liệu, tất nhiên là như vậy sẽ không chính xác. Còn quarterly GDP thì có trên GSO, hình như là trong file thống kê số liệu cả nước vào cuối các tháng 3,6,9,12. Không biết bác Giang còn sáng kiến gì không :-)

    ReplyDelete
    Replies
    1. Tôi đang đọc cái này: http://papers.ssrn.com/sol3/papers.cfm?abstract_id=1484478

      Delete
    2. Bác nào biết cách nội suy GDP quý sang GDP tháng không giúp mình với.

      Delete
    3. This comment has been removed by the author.

      Delete
    4. This comment has been removed by the author.

      Delete
    5. bạn có thể cho mình xin số liệu GDP theo quí từ năm 1995 đến 1998 được không ạ?
      mail của mình: quynhhoa06021995@gmail.com
      cảm ơn bạn nhiều

      Delete
  28. Bác cho cháu hỏi: cháu muốn tìm hiểu thêm vê phương pháp HPF, Bác có thể cho cháu biết,nên đọc sách j hay tim trên wed nào khong? nêu có vd ve phương pháp đó là tốt nhất..thanks Bác

    ReplyDelete
    Replies
    1. con cũng muốn tìm hiểu về phương pháp này, bác chỉ cho con với ạ. Con cảm ơn bác.

      Delete
  29. This comment has been removed by the author.

    ReplyDelete
  30. Bác cho cháu hỏi, paper gốc chạy mô hình theo số liệu theo quý, khi áp dụng mô hình đó cháu dùng dữ liệu theo năm (cùng trong khoảng thời gian đó)thì có làm sai kết quả dự báo không ạ? Nếu được thì mình phải lập luận như thế nào để không bị bắt bẻ?! :) Cám ơn Bác rất nhiều!

    ReplyDelete
  31. Bác nào có số liệu PPI theo quý từ Q1 2000 đến Q2 2012 cho em xin với. Em đang làm bài luận tốt nghiệp nhưng kiếm mãi không ra số liệu này. Hic. Mail của em là : huudung1091@gmail.com
    Em xin cám ơn!

    ReplyDelete
  32. Trong data của bác Giang sao có 2 cột nhỉ, cột NGDP có nghĩa gì?

    ReplyDelete
  33. Bác Giang cho con hỏi vì sao phải lấy logarit của các biến trước khi chạy dữ liệu ạ. Mong bác giúp đỡ. Cám ơn bác

    ReplyDelete
  34. @Pe' Heo: Theo mình biết thì để làm dữ liệu mượt hơn đó bạn

    ReplyDelete
    Replies
    1. Các anh cho em hỏi, mượt là sao ạ, cảm ơn các anh

      Delete
  35. Chào Bác! Con đang nghiên cứu 1 paper về tác động của các fundamentals lên reer . Trong đó có biến về government(public) expenditure tạm dịch là chi tiêu công của chính phủ. Con đã tìm trên gso thì chỉ có theo năm thôi, con không tìm được số liệu theo quý về chi tiêu công. Bác có nguồn nào khác để tìm nữa không bác chỉ hộ con. Con cám ơn Bác nhiều! timeseries 1996-2012

    ReplyDelete
  36. có bạn nào biết cách lấy số liệu GDP deflator của Việt Nam theo quý từ Q1/2005 đến Q4/2013 không? Mình đã tìm trên các trang web: gos, imf, worldbank, adb, oecd nhưng đều không thấy. nếu bạn nào có dữ liệu cho minh xin với nha! thanks

    ReplyDelete
  37. Chào Bác, bác có thể cho con xin số liệu M2 theo quí tứ năm 1995-2012 được k ạ. Con cảm ơn bác nhiều
    Mail: quynhhoa06021995@gmail.com

    ReplyDelete
  38. Chàu chào bác ạ ! Hiện cháu đang làm đồ án tốt nghiệp mô hình Var về lạm phát và tín dụng. C đã tìm số liệu theo quý về GDP mấy tuần này mà vẫn chưa tìm đc. C thấy bác có nói bác có bộ số liệu GDP quý. Bác có thể gửi cho cháu bộ số liệu đc k ạ. C rất mong bác giúp ạ vì c tìm mãi mà k sao tìm đc. C cảm ơn bác rất nhiều. Email của cháu là : nguyenhthao194@gmail.com

    ReplyDelete
  39. Bác ơi, bác lấy số liệu từ trang Datastream có phải là trang thomsonreuters ko bác, nếu được nhờ Bác chỉ cho chúng cháu cách lấy với

    ReplyDelete
  40. Co le bac Giang nen dat lai ten la trend GDP thi dung hon :-) , 1 diem can nhac la dung filter the nay luon gap van de end-of-sample: tuc la trong recession thi trend GDP slows considerably and accelerates afterward. Neu bac tinh potential GDP sao bac khong dung neo-classical production function nhi? VN co the lay capital share tu 0.3-0.48 theo 1 vai paper cua IMF :) H.D

    ReplyDelete

Note: Only a member of this blog may post a comment.